19.6 Viruses

Learning Objective

  1. Explain how viruses reproduce in cells.

Infectious diseases caused by viruses include the common cold, influenza, and acquired immunodeficiency syndrome (AIDS) and are among the most significant health problems in our society. VirusesAn infectious agent that is much smaller and simpler than bacteria. are infectious agents far smaller and simpler than bacteria that are composed of a tightly packed central core of nucleic acids enclosed in a protective shell. The shell consists of layers of one or more proteins and may also have lipid or carbohydrate molecules on the surface. Because of their simplicity, viruses must invade the cells of other organisms to be able to reproduce.

Viruses are visible only under an electron microscope. They come in a variety of shapes, ranging from spherical to rod shaped. The fact that they contain either deoxyribonucleic acid (DNA) or ribonucleic acid (RNA)—but never both—allows them to be divided into two major classes: DNA viruses and RNA viruses (Figure 19.17 "Viruses").

Figure 19.17 Viruses

Viruses come in a variety of shapes that are determined by their protein coats.

A DNA virus enters a host cell and induces the cell to replicate the viral DNA and produce viral proteins. These proteins and DNA assemble into new viruses that are released by the host cell, which may die in the process. The new viruses can then invade other cells and repeat the cycle. Cell death and the production of new viruses account for the symptoms of viral infections.

Most RNA viruses use their nucleic acids in much the same way as the DNA viruses, penetrating a host cell and inducing it to replicate the viral RNA and synthesize viral proteins. The new RNA strands and viral proteins are then assembled into new viruses. Some RNA viruses, however, called retrovirusesAn RNA virus that directs the synthesis of a DNA copy in the host cell. (Figure 19.18 "Life Cycle of a Retrovirus"), synthesize DNA in the host cell, in a process that is the reverse of the DNA-to-RNA transcription that normally occurs in cells. (See Figure 19.10 "A Schematic Diagram of RNA Transcription from a DNA Template" for the transcription process.) The synthesis of DNA from an RNA template is catalyzed by the enzyme reverse transcriptase.

Figure 19.18 Life Cycle of a Retrovirus

Perhaps the best-known retrovirus is the human immunodeficiency virus (HIV) that causes AIDS. It is estimated that there are about 33 million people worldwide testing positive for HIV infections, many of whom have developed AIDS as a result. In 2007 alone, 2.7 million people became infected with HIV, and in the same year, AIDS caused the deaths of approximately 2 million people. The virus uses glycoproteins on its outer surface to attach to receptors on the surface of T cells, a group of white blood cells that normally help protect the body from infections. The virus then enters the T cell, where it replicates and eventually destroys the cell. With his or her T cells destroyed, the AIDS victim is at increased risk of succumbing to pneumonia or other infectious diseases.

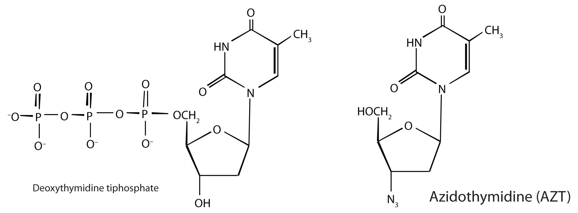
In 1987, azidothymidine (AZT, also known as zidovudine or the brand name Retrovir) became the first drug approved for the treatment of AIDS. It works by binding to reverse transcriptase in place of deoxythymidine triphosphate, after which, because AZT does not have a 3′OH group, further replication is blocked. In the past 10 years, several other drugs have been approved that also act by inhibiting the viral reverse transcriptase.

As part of HIV reproduction in an infected cell, newly synthesized viral proteins must be cut by a specific viral-induced HIV protease to form shorter proteins. An intensive research effort was made to design drugs that specifically inhibited this proteolytic enzyme, without affecting the proteolytic enzymes (like trypsin) that are needed by the host. In December 1995, saquinavir (brand names Invirase and Fortovase) was approved for the treatment of AIDS. This drug represented a new class of drugs known as protease inhibitors. Other protease inhibitors soon gained Food and Drug Administration (FDA) approval: ritonavir (Norvir), indinavir (Crixivan), and nelfinavir (Viracept).

Raltegravir (Isentress) is a newer anti-AIDS drug that was approved by the FDA in October 2007. This drug inhibits the integrase enzyme that is needed to integrate the HIV DNA into cellular DNA, an essential step in the production of more HIV particles.

A major problem in treating HIV infections is that the virus can become resistant to any of these drugs. One way to combat the problem has been to administer a “cocktail” of drugs, typically a combination of two reverse transcriptase inhibitors along with a protease inhibitor. These treatments can significantly reduce the amount of HIV in an infected person.

Concept Review Exercises

  1. Describe the general structure of a virus.

  2. How does a DNA virus differ from an RNA virus?

  3. Why is HIV known as a retrovirus?

Answers

  1. A virus consists of a central core of nucleic acid enclosed in a protective shell of proteins. There may be lipid or carbohydrate molecules on the surface.

  2. A DNA virus has DNA as its genetic material, while an RNA virus has RNA as its genetic material.

  3. In a cell, a retrovirus synthesizes a DNA copy of its RNA genetic material.

Career Focus: Genetics Counselor

A genetics counselor works with individuals and families who have birth defects or genetic disorders or a family history of a disease, such as cancer, with a genetic link. A genetics counselor may work in a variety of health-care settings (such as a hospital) to obtain family medical and reproductive histories; explain how genetic conditions are inherited; explain the causes, diagnosis, and care of these conditions; interpret the results of genetic tests; and aid the individual or family in making decisions regarding genetic diseases or conditions. A certified genetics counselor must obtain a master’s degree from an accredited program. Applicants to these graduate programs usually have an undergraduate degree in biology, psychology, or genetics.

Key Takeaways

  • Viruses are very small infectious agents that contain either DNA or RNA as their genetic material.
  • The human immunodeficiency virus (HIV) causes acquired immunodeficiency syndrome (AIDS).

Exercises

  1. Describe how a DNA virus invades and destroys a cell.

  2.  

    1. Describe how an RNA virus invades and destroys a cell.
    2. How does this differ from a DNA virus?
  3. What HIV enzyme does AZT inhibit?

  4. What HIV enzyme does raltegravir inhibit?

Answers

  1. The DNA virus enters a host cell and induces the cell to replicate the viral DNA and produce viral proteins. These proteins and DNA assemble into new viruses that are released by the host cell, which may die in the process.

  2. reverse transcriptase